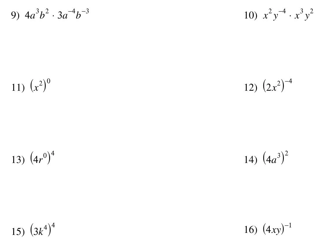
Rules of Exponents Practice Part II
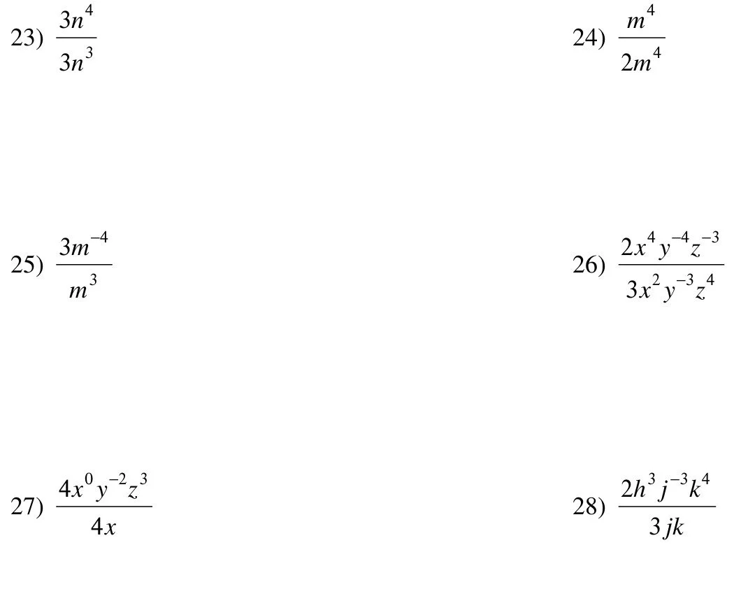
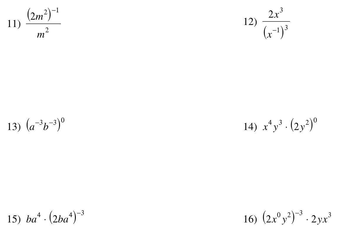
Rules of Exponent Practice Part III
The master tutor, mathematician, and physicist, Dr. Kevin L. Powell. 30 years of experience educating students.
Call or text me:
Ph. 980-288-6115 Charlotte, NC
Ph. 704-299-2756 U.S. Whatsapp
Ph. 809-489-5760 D.R. Home Phone